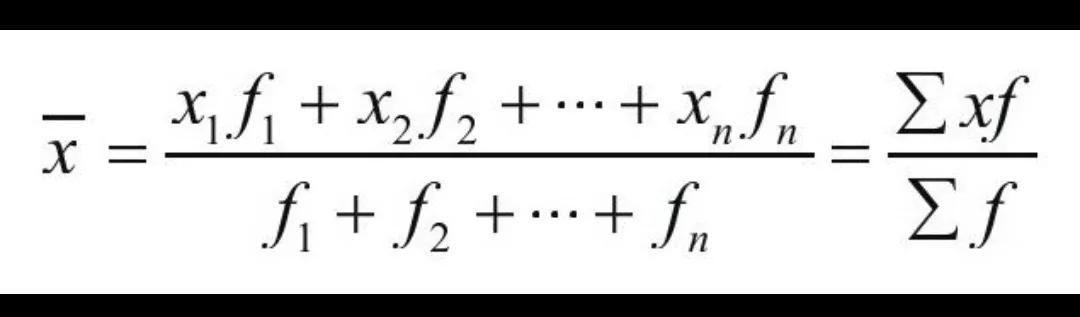
在日常生活中当数据量大的时候或者特殊场合,我们常常会用到加权算术平均值,在Excel里面没有现成的公式可用。先看一下定义:
设两组样本数据分别为x1,x2,……,xn和f1,f2,……,fn,样本量为n,则加权算术平均值的计算公式为:

加权算术平均值
第二个数据序列一般是指权重。看见权重这个词会想到成语“位高权重”,简单理解就是指一个数据的贡献度或重要性。下面通过示例来讲解。
1)新建一个工作表,在A1单元格输入“成绩”、A2~A12单元格填充输入10~0,因为打靶的成绩就这11种【复习一下填充功能】;在A13单元格输入“总和”。
2)我们使用左轮手枪击发六次,成绩的环数为2、3、3、5、7、10,用另一种表述方式就是:贡献了2环1次,贡献了3环2次,贡献了5环1次,…。所贡献的次数就是权重,使用这种表格,成千上万发的成绩也能放的下。我们在B1输入“次数”,把次数放在B列,成绩的环数后面,0填不填都可以,填上好看一点。
3)在B13单元格输入求和公式“=sum(B2:B12)”,结果为6。

另一种射击成绩的表示方法-加权
4)下面我们逐项加权,再求和。复习一下数组公式,鼠标左键选中C2:C12,在编辑栏输入“=”,鼠标左键选中A2:A12,接着输入“*”,鼠标左键选中B2:B12,最后同时按下CTRL SHIFT ENTER快捷键。鼠标左键拖动B13单元格右下角的拖动柄将求和公式复制到C13单元格。

先加权,再求和
5)不使用数组公式,在C2输入“=A2*B2”,或者高级点输入“=product(A2:B2)”,向下填充公式也可。
6)最后一步,在D1单元格输入“平均”,在D13单元格输入“=C13/D13”,结果为5。
7)省略中间过程,在单元格中输入“=sum(A2:A12*B2:B12)/sum(B2:B12)”,要按CTRL SHIFT ENTER快捷键结果才正确。分子公式更简便的方法是直接使用下列函数,写成sumproduct( A2:A12,B2:B12)。

加权平均值的计算公式
8)关于单元格的显示设置,根据需要自己弄吧。
实际生活中在统计大量的原始数据中,常常会用到组距式变量,比如考试成绩、岁数、工资等等,可以使用每组数据的中值来代替其平均值,进行组距式变量加权平均值的计算。
比如下图是假设的某养老院目前住院的老人数,50~60岁的6人,60~70岁的10人,…。在不具体计算每一个人岁数的情况下,用中值来近似代替每组的实际情况。

组距式变量的加权平均值
在互联网上的问卷调查中常常碰到这种组距式的问题,可以进行选择,例如:您的年龄、收入等等。有的学校统计考试成绩时也会分组处理,现在高考报名也是分段的。
iOS
Android
Windows
macOS