Excel中含有丰富的函数公式,所以Excel除了可以进行数据处理之外,也可以进行数据运算。今天分享一个使用Excel中的函数公式计算一元二次方程的方法。
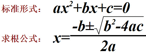
1,一元二次方程的公式

2,使用公式求解

公式:
D2单元格公式:“=B3*B3-4*B2*B4”
G2单元格公式:
“=IFERROR((-$B$3+SQRT($D$2))/(2*$B$2),”无解”)”
G3单元格公式:
“=IFERROR((-$B$3-SQRT($D$2))/(2*$B$2),”无解”)”
这个是只计算实数解,如“Δ”小于0,直接返回“无解”。其中SQRT()函数为求平方根函数。
3,含复数的解
其实当“Δ”小于0的时候,方程一样是有解的,只不过是复数解。
具体如下:

公式:
D2单元格公式:“=B3*B3-4*B2*B4”
G2单元格公式:
“=IF($D$2>=0,(-$B$3+SQRT($D$2))/(2*$B$2),(-$B$3)/(2*$B$2)&”+”&ROUND(SQRT(ABS($D$2))/(2*$B$2),3)&”i”)”
G3单元格公式:
“=IF($D$2>=0,(-$B$3-SQRT($D$2))/(2*$B$2),(-$B$3)/(2*$B$2)&”-“&ROUND(SQRT(ABS($D$2))/(2*$B$2),3)&”i”)”
这些Excel中的函数并不复杂,大家可以自己试试,通过这个题目来熟练自己对函数的运用。